爱心助学暖人心,校企携手育未来——赤峰北方电力职业技术学校向内蒙古泰亨建筑装饰工程有限公司衷心致谢

2026-04-18


图片
图片

友善

诚信

爱国

敬业

图片
图片
图片
图片
图片

爱心助学暖人心

校企携手育未来

图片

赤峰北方电力职业技术学

图片

一、授牌致谢:致敬爱心善举

图片
图片


涓滴之力,汇聚成海;助学善举,点亮未来。近日,赤峰北方电力职业技术学校向内蒙古泰亨建筑装饰工程有限公司敬献“捐资助学 功耀千秋”荣誉牌匾,以此感谢企业对我校学子的暖心资助与对职业教育事业的大力支持。


图片


图片

二、情系学子:护航求学之路

图片

内蒙古泰亨建筑装饰工程有限公司长期以来心系教育、情系学子,主动承担社会责任,为我校该学子提供了长期助学资助。覆盖大学3年或4年的学习周期,用实际行动为学子们的求学之路保驾护航,助力学子顺利完成学业、实现人生理想。

图片

三、校企同心:见证育人初心

图片

此次敬献牌匾、锦旗,不仅是学校对企业爱心善举的诚挚感谢,更是校企双方深化合作、共育人才的重要见证。这份沉甸甸的资助,不仅为学子们减轻了经济负担,更传递了温暖与希望,激励着同学们以更饱满的热情投入学习,用优异的成绩回报社会、回馈爱心企业。



图片


图片

四、聚力前行:共筑美好未来

图片
图片

赤峰北方电力职业技术学校始终坚守育人初心,致力于为学子搭建成长成才的平台。未来,学校将持续深化校企合作,汇聚更多社会爱心力量,为学子们创造更优质的学习与发展环境,培养更多高素质技术技能人才,不辜负社会各界的信任与支持。


再次向

内蒙古泰亨建筑装饰工程有限公司

致以最诚挚的感谢!

愿爱心永续,校企携手,

共筑学子光明未来!

图片


图片


图片

五、锦旗传情:学子致谢颂恩情

图片
图片

爱心筑梦,锦旗寄情。为表达对内蒙古泰亨建筑装饰工程有限公司的深深谢意,我校受助学子代表亲手将印有**“爱心助学施善举 情系学子暖人心”**的锦旗送到企业代表手中。一面鲜艳的锦旗,承载着全校学子最真挚的感激,凝聚着校企之间的温情联结,是学子们对企业无私助学、倾心帮扶的最好回馈,也让这份爱心善举更具仪式感与纪念意义。


图片


图片

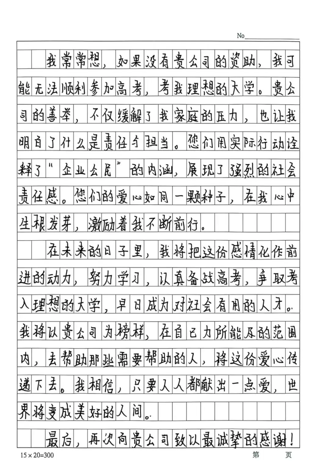
六、学子感恩:书信寄情传谢意

图片

爱心助学的善举,深深温暖着每一位受助学子的心田,我校学子特意写下感谢信,向内蒙古泰亨建筑装饰工程有限公司表达最真挚的感恩之情。

图片
图片
图片
图片
图片

一纸书信,承载着学子满满的感恩与奋进的决心,也让这份校企助学的温情更具力量,激励着学子们心怀感恩、向阳而行。

再次向

内蒙古泰亨建筑装饰工程有限公司

致以最诚挚的感谢!

愿爱心永续,校企携手,

共筑学子光明未来!

图片戳下图,知详情


【学校地址】

赤峰市红山区文钟园区大中路北段(12路公交车直达)

【网      址】

http://www.bfeps.com

【公众号】

cfbfdlxx

【招生电话】

0476-8365858

0476-8375858

13904763424(微信同号)王老师

13304762739(微信同号)王老师

图片




图片
赤峰北方电力职业技术学校新校区效果图


莘莘学子竞逐梦,升学就业两相宜、

图片



编辑|王欣萍

初审|陈美铃

复审|王晓旭

终审|郎显东



分享